فروشگاه اینترنتی گل و گیاه نارگیل            
امروز چهارشنبه ۱۴۰۴/۱۲/۶         
  

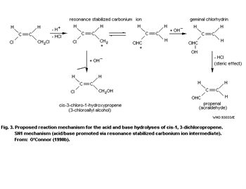
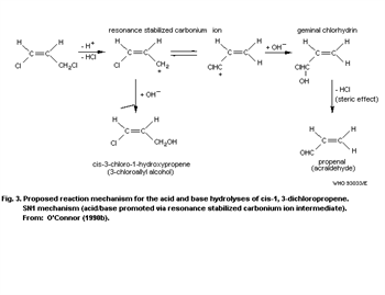
دی‌کلروپروپن (Telone) یک نماتدکش تدخینی و فومیگانت خاک از گروه هیدروکربن‌های هالوژنه است که برای کنترل نماتدهای ریشه‌گره‌ای در ایران و نیز نماتدهای آزاد، نماتد طلایی سیب‌زمینی و برخی نماتدهای ناقل ویروس در سایر کشورها به‌کار می‌رود. کارایی آن به دمای بالاتر از ۵ درجه سانتی‌گراد، رطوبت کافی و شخم تا عمق ۳۰ سانتی‌متر وابسته است. رعایت محدودیت دفعات مصرف، دوره انتظار و ملاحظات زیست‌محیطی، به‌ویژه پیشگیری از آلودگی آب‌های سطحی، ضروری است.

دی كلروپروپن
دی كلروپروپن


دی كلروپروپن : (dichloropropene) 

نماتدكش و فومیگانت خاک از گروه هیدروكربن‌های ‌هالوژن دار

فرمولاسیون :
تلون Telone      100%      L
تاریخ ثبت: 1/10/47
نحوه اثر: نماتدكش تدخینی از گروه هیدروکربن‌های هالوژنه .

موارد مصرف در ایران :
نماتدهای ریشه گره‌ای در خاک

موارد مصرف در سایر كشورها :
نماتدهای آزاد، نماتد طلایی سیب زمینی، نماتدها ناقل ویروس در انواع توت فرنگی و تمشك، نماتدهای ساقه و پیاز در نرگس

راهنمای مصرف :
دمای خاك قبل از تیمار آن باید بالای 5 درجه سانی‌گراد بوده و رطوبت كافی باید داشته باشد.  شخم زدن زمین به عمق 30 سانتی‌متر كارایی سم را افزایش می‌دهد

احتیاط‌های لازم :
تا سه هفته بعد از تیمار از به هم زدن خاك خودداری نمایید. این مدت در خاك‌های مرطوب و سرد طولانی‌تر است .
كاربرد سم حداكثر یك نوبت در سال توصیه می‌شود .
تا زمانی كه بوی گاز از بین نرفته است از شخم زدن و كاشت خودداری شود .
بعد از تیمار از كودهای آمونیومی استفاده نكنید، تا زمان استقرار محصول، از كودهای نیتراتی استفاده كنید .
در خاك‌های سنگین رسی و خاك‌های با تعداد زیادی سنگ‌های درشت استفاده نكنید .

ملاحظات زیست محیطی :
میزان سمیت ( LD50 ، LC50 ، EC50): LD50 برای پستانداران 150 میلی‌گرم بر کیلوگرم، LD50  برای پرندگان 10000-152 میلی‌گرم بر کیلوگرم، LC50  برای ماهی‌ها 39-1/7 میلی‌گرم بر لیتر، EC50  برای دافنی 2/6 میلی‌گرم بر لیتر
برای ماهی و موجودات آبزی خطرناك است، لذا از آلوده شدن آب‌های سطحی و نهرها باید خودداری كرد .


  

نظرات و پرسشهای کاربران

چت آنلاین
اگر سوالی دارید
بفرمایید
پایگاه اینترنتی نارگیل به عنوان یکی از اولین سایت های تخصصی و جامع ترین دایره المعارف گل و گیاه و باغبانی فعالیت خود را از سال ۱۳۸۷ آغاز کرده و از سال ۱۳۹۱ امکان خرید اینترتی محصولات مرتبط با این حوزه مانند انواع گل و گیاه و بذر، خاک و کود های کشاورزی، سموم دفع آفات و ابزار باغبانی را برای علاقه مندان گل و گیاه فراهم نموده است.
© 2026 تمام حقوق مادی و معنوی این سایت متعلق به نارگیل است. استفاده از مطالب در رسانه های آموزشی با ذکر منبع و لینک به صفحه مربوطه بلا مانع است.